La formula ridotta è una semplificazione della formula risolutiva delle equazioni di secondo grado complete e ridotte in forma normale che possiamo usare quando il coefficiente del termine di primo grado è divisibile per 2.
Un’equazione di secondo grado completa e ridotta in forma normale si presenta sempre nella forma ax2 + bx + c = 0. Quindi sono presenti al primo membro un’incognita di secondo grado, espressa come potenza al quadrato, un’incognita di primo grado e un termine noto. Il risultato della loro somma è sempre uguale a 0.
Questo significa che quando dobbiamo risolvere un’equazione di secondo grado complessa, dobbiamo applicare tutte le formule che conosciamo per semplificarla e ridurla in forma normale. Soltanto a quel punto possiamo applicare la formula risolutiva. La dimostrazione su come si ricava è spiegato nel relativo articolo indicato in questo paragrafo.

Come si ricava la formula ridotta
Iniziamo, dimezzando tutti i termini dell’equazione ridotta in forma normale e sostituiamo i valori ottenuti a quelli della formula risolutiva. I passaggi sono abbastanza semplici, perché dobbiamo soltanto semplificare alcune frazioni.

Possiamo vedere che nella nuova formula il coefficiente dell’incognita di primo grado viene dimezzato mentre quello dell’incognita di secondo grado e il termine noto rimangono tali e quali.
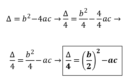
Inoltre, possiamo notare che l’espressione ottenuta dentro la radice della formula ridotta è uguale ad un quarto del discriminante della formula risolutiva intera, come mostra l’equazione sotto.

Perciò, quando dobbiamo risolvere un’equazione di secondo grado completa e ridotta in forma normale il cui coefficiente dell’incognita di primo grado è divisibile per 2, possiamo applicare direttamente la formula ridotta oppure ricavare un quarto del discriminante prima e poi sostituirlo al valore della radice.