Le disequazioni fratte sono delle disuguaglianze tra due espressioni algebriche dove il termine incognito figura al denominatore. Per poterle risolvere è necessario e utile ridurle in forma normale, semplificando le frazioni ed eliminando tutti i denominatori applicando le regole delle frazioni e i principi di equivalenza.
Le disuguaglianze si possono presentare in modi diversi: un’espressione può essere minore, maggiore, minore o uguale, maggiore o uguale e diversa rispetto ad un’altra espressione algebrica. Per ciascun tipo di disequazione si utilizzano simboli diversi ma il procedimento per risolverli è lo stesso.
Le disequazioni si risolvono proprio come le equazioni dello stesso tipo. Nel caso di quelle più semplici, si riduce la disequazione in forma normale dove ciascun termine appare soltanto una vola e si applicano i principi di equivalenza fino a ricavare la soluzione.
Un esempio è 3x + 4 > 2x. In questo caso portiamo le incognite da una parte e i termini noti dall’altra parte: 3x – 2x > 4. A questo punto sommiamo le incognite dato che sono dei monomi simili e abbiamo ridotto la disequazione in forma normale: x > 4. La soluzione ci mostra che la disequazione è vera per tutti i valori dell’incognita maggiori di 4.
Come si risolvono le disequazioni fratte
Per risolvere le disequazioni fratte dobbiamo innanzitutto estrapolare il denominatore e indicarne le condizioni di esistenza. Poniamo il caso che al denominatore c’è x – 5. Se il denominatore risulta 0, la frazione è impossibile perché qualsiasi divisione per 0 non si può fare. Perciò, iniziamo dicendo che x – 5 deve essere diverso da 0.
x – 5 ≠ 0; x ≠ 5
Il secondo passaggio consiste nell’eliminare il denominatore in modo che l’incognita appaia soltanto come numero intero. Per farlo dobbiamo moltiplicare entrambi i membri per il denominatore applicando il secondo principio di equivalenza.
Il terzo passaggio consiste nel ridurre la disequazione in forma normale effettuando le varie regole e proprietà che ci servono per il singolo caso. Dopo avere ricavato il valore o i valori dell’incognita dobbiamo escludere quei valori che rendono impossibile la frazione. Vediamo un semplice esempio: 5 + 1/(x+3) + x > 2.

Come prima cosa estrapoliamo il denominatore e stabiliamo che x + 3 deve essere diverso da 0 affinché la disequazione fratta sia verificata; di conseguenza x deve essere diverso da -3. A questo punto sommiamo tutti i termini utilizzando il denominatore dell’unica frazione che abbiamo come minimo comune multiplo e ricaviamo il polinomio in forma normale. Ricaviamo infine il segno dell’incognita ponendo il numeratore e il denominatore maggiori di 0. Nei valori o nell’intervallo di valori in cui il rapporto tra il segno del numeratore e quello del denominatore è positivo, vuol dire che l’incognita è maggiore di quei valori.

Nella disequazione di secondo grado abbiamo applicato la formula risolutiva dell’equazione associata per ricavare tutti i valori dell’incognita che rendono vera la disequazione. Dato che il radicando è un numero negativo la radice è impossibile da fare e il risultato è indeterminato.
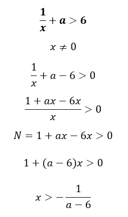
Vediamo adesso l’esempio di una disequazione fratta letterale, dove oltre all’incognita possono essere presenti altre lettere: 1/(x+a) > 6.

Come prima cosa estrapoliamo il denominatore e stabiliamo che x deve essere diverso da 0 affinché la disequazione fratta sia verificata. A questo punto possiamo eliminare il denominatore moltiplicando i termini applicando il secondo principio di equivalenza o spostando tutti i termini a sinistra e sommandoli con la frazione. Isoliamo la x e consideriamo i due casi possibili: a > 6 oppure a < 6.

In questo caso, anche la nuova lettera deve rispettare le condizioni di esistenza dato che si trova al denominatore di una frazione.
Come abbiamo visto nel primo esempio, se la disequazione risulta essere di secondo grado dobbiamo applicare la formula risolutiva dell’equazione associata in modo da ricavare i limiti entro i quali la disequazione fratta risulta verificata. Se il polinomio di secondo grado si trova al denominatore dobbiamo applicare la formula risolutiva per trovare i due possibili valori dell’incognita come condizioni di esistenza.
Vediamo l’esempio di una disequazione dove appare l’incognita di secondo grado al denominatore. Questa volta si fa in modo di avere una sola frazione al membro a sinistra con un solo numeratore e un solo denominatore sommando le frazioni che ci sono ottenendo così un polinomio al numeratore e un altro al denominatore. Se i polinomi non potrebbero essere scomposti si procede come mostrato nel primo esempio ma in questo caso è possibile semplificare la frazione in modo da rendere tutto più semplice.

A questo punto si procede alla scomposizione dei polinomi, non soltanto per semplificare la frazione ma per ottenere una disequazione equivalente alla prima per risolvere il problema più velocemente. Dopo avere fatto ciò dobbiamo vedere per quali valori di x le espressioni al numeratore sono maggiori di 0 e per quali valori dell’incognita al numeratore e al denominatore la disequazione non è valida

In questo caso l’incognita non appare più al denominatore perciò basta considerare per quali valori di x il denominatore è minore di 0 rendendo vera la disequazione fratta.